如表3.1所示,所謂柵極接地放大電路,就是在柵極固定為一定電位的狀態下,輸入信號加到源極上,從漏極取出輸出信號的電路。
當圖3.5所示的柵極接地放大電路的源極電位(輸入端)上升νin時,柵極—源極間電壓VGS變小,漏極電流ID減小gnνin由于源極—漏極間電壓也減小。νin假如也思索它的奉獻,那么輸出電壓的變動νout可由下式給出:


式中,Reff=Rload//roo中右邊的符號為正,這標明輸出信號與輸入信號同相變化。右邊的(gm十l/ro)νin能夠以為表示輸入電壓νin惹起的流過MOS晶體管電流的變化量。由于是流過有效的負載電阻Reff,所以式(3.5)示出的是輸出電壓的變動。


漏極接地放大電路
漏極接地放大電路是將漏極與電源電位(N溝MOS晶體管的場所)或者地電位(P溝MOS晶體管的場所)銜接,輸入信號加到柵極,從源極取出信號的電路。
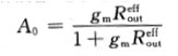
圖3.6所示的漏極接地放大電路的電壓增益A。由下式給出:


正如式(3.6)所標明的那樣,漏極接地放大電路的電壓增益小于1。假如gmReff》1,那么增益差不多能夠視作1。
漏極接地電路具有電平轉移電路的功用。當以恒流源替代輸出負載電阻及load輸出時,如圖3.7所示,輸出端Y叫,輸出的只是將輸人電位挪動了一定電壓△V shift(=VT+2I/β)的電位。但是,由于圖中MOS器件M1的源極端沒有接地,所以它的閾值電壓VT必需思索到襯底偏置效應的值予以變卦,這種電平轉移電路由于兼備以下功用而得到應用:


(1)設定次級的輸入偏置電壓為恰當值(使直流電位電平挪動)的功用。
(2)將前級的信號傳輸給次級的功用
烜芯微專業制造二三極管,MOS管,20年,工廠直銷省20%,1500家電路電器生產企業選用,專業的工程師幫您穩定好每一批產品,如果您有遇到什么需要幫助解決的,可以點擊右邊的工程師,或者點擊銷售經理給您精準的報價以及產品介紹
烜芯微專業制造二三極管,MOS管,20年,工廠直銷省20%,1500家電路電器生產企業選用,專業的工程師幫您穩定好每一批產品,如果您有遇到什么需要幫助解決的,可以點擊右邊的工程師,或者點擊銷售經理給您精準的報價以及產品介紹

